凯美西中文
AboutUs
Contact
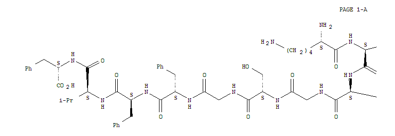
IGE decapeptide
[ 70669-29-3 ]
Product Code
1031794
Product Name
IGE decapeptide
Cas Number
70669-29-3
Boiling Point
877.3 ( ℃ )
Order [ 70669-29-3 ] Now
Maybe you are interested:
(1H-Indol-2-yl)boronic acid
Boc-a-Propyl-DL-proline
3,5-DIBROMO-4-METHYLPHENOL
2,5-Bis(4-Aminophenyl)pyrimdine
CAS RN 70669-29-3
CAS No 70669-29-3
ROSCOVITINE
[
186692-46-6
]
Boc-(S)-2-amino-3-ethoxypropionic acid
Regadenoson
GSK 2830371
4-(4-Hydroxy-3,5-diiodophenoxy)-3,5-diiodobenzeneacetaMide
4,6-Diaminoresorcinol
6-Hydroxy-2,5,7,8-tetramethylchroman-2-carboxylic acid
3-Acetyl-6-methoxyindole
4,6-Dimethylindoline-2,3-dione
Furo[2,3-c]pyridine-2-carbaldehyde
2-bromo-4,5-dimethylthiazole
CASNo 70669-29-3
Methyl cyclohexyl mandelate
Pyridine-2,3,5,6-Tetraamine hcl
CAS # 70669-29-3
4-Fluorocyclohexane-1-carboxylic acid
Cyclo(-Leu-Phe)
D-Psicose
[
551-68-8
]
2-METHYL-2-HEPTANOL
1-Phenyl-3-(trifluoromethyl)-1H-pyrazol-5-amine
2,2-Dimethylvaleroyl chloride
CAS Number 70669-29-3
IMIDAZO[1,2-A]PYRIMIDINE-3-CARBALDEHYDE
2-AMINOHEPTANE
CROTONAMIDE
4-Bromo-1-methyl-1H-pyrazole-5-carbohydrazide
2-(3-AMINO-PHENYL)-BENZOOXAZOL-5-YLAMINE
GW7647
PYRAZOLO[1,5-A]PYRIMIDINE-3-CARBALDEHYDE
N-BOC-1-AMINO-CYCLOPROPANEMETHANOL
1H-Pyrazolo[3,4-b]pyridine-3-carbaldehyde
APROBARBITAL METHANOL SOLUTION
5,7-dimethylpyrazolo[1,5-a]pyrimidine-3-carbaldehyde(SALTDATA: FREE)
1-ETHYNYLADAMANTANE
2026-01-02 Provider of IGE decapeptide CAS No. 70669-29-3. Find Related Products for Bulk Production or Scientific Research at Chemsigma. Reliable Distributor