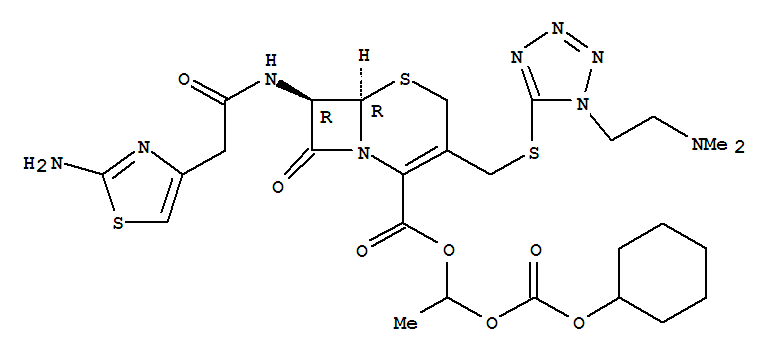
5-Thia-1-azabicyclo[4.2.0]oct-2-ene-2-carboxylic acid, 7-[[(2-amino-4-thiazolyl)acetyl]amino]-3-[[[1-[2-(dimethylamino)ethyl]-1H-tetrazol-5-yl]thio]methyl]-8-oxo-, 1-[[(cyclohexyloxy)carbonyl]oxy]ethyl ester, [6R-(6α,7β)]- [ 95761-91-4 ]
- Refractive index
- 1.751