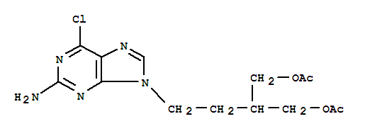
9-(4-acetoxy-3-acetoxymethylbut-1-yl)-2-amino-6-chloropuine [ 97845-60-8 ]
Associated Products

588163
Poly(oxy-1,2-ethanediyl), .alpha.-sulfo-.omega.-hydroxy-, C11-14-isoalkyl ethers, C13-rich, sodium salts

119328
Laurel base ether sodium

226935
SODIUM COCETH-30 SULFATE